Last update: 19/Feb/2026
📚 Import libraries
# base libraries for data science
import sys
from pathlib import Path
import pandas as pd
import seaborn as sns
# configuration to show only 2 decimal places
pd.set_option("display.float_format", "{:.2f}".format)
# print library version for reproducibility
print("Python version: ", sys.version)
print("Pandas version: ", pd.__version__)
Python version: 3.11.11 (main, Dec 6 2024, 20:02:44) [Clang 18.1.8 ]
Pandas version: 2.2.3
💾 Load data
The dataset has correct data types, fixed in:
DATA_DIR = Path.cwd().resolve().parents[1] / "data"
titanic_df = pd.read_parquet(
DATA_DIR / "02_intermediate/titanic_type_fixed.parquet", engine="pyarrow"
)
📊 Data description
General data information
titanic_df.info()
<class 'pandas.core.frame.DataFrame'>
RangeIndex: 1309 entries, 0 to 1308
Data columns (total 10 columns):
# Column Non-Null Count Dtype
--- ------ -------------- -----
0 Unnamed: 0 1309 non-null int64
1 pclass 1309 non-null int64
2 survived 1309 non-null bool
3 name 1309 non-null object
4 sex 1309 non-null category
5 age 1046 non-null float64
6 sibsp 1309 non-null int64
7 parch 1309 non-null int64
8 fare 1308 non-null float64
9 embarked 1307 non-null category
dtypes: bool(1), category(2), float64(2), int64(4), object(1)
memory usage: 75.8+ KB
Ordinal data has to be converted again
information about the pclass column can be chech in the notebook
titanic_df["pclass"] = pd.Categorical(
titanic_df["pclass"], categories=[3, 2, 1], ordered=True
)
# column Unnamed: 0 is not needed
titanic_df = titanic_df.drop(columns=["Unnamed: 0"])
General information about the data set:
titanic_df.info()
<class 'pandas.core.frame.DataFrame'>
RangeIndex: 1309 entries, 0 to 1308
Data columns (total 9 columns):
# Column Non-Null Count Dtype
--- ------ -------------- -----
0 pclass 1309 non-null category
1 survived 1309 non-null bool
2 name 1309 non-null object
3 sex 1309 non-null category
4 age 1046 non-null float64
5 sibsp 1309 non-null int64
6 parch 1309 non-null int64
7 fare 1308 non-null float64
8 embarked 1307 non-null category
dtypes: bool(1), category(3), float64(2), int64(2), object(1)
memory usage: 56.8+ KB
# size of the dataframe
titanic_df.shape
(1309, 9)
# sample of the dataframe
titanic_df.sample(5)
| pclass | survived | name | sex | age | sibsp | parch | fare | embarked | |
|---|---|---|---|---|---|---|---|---|---|
| 1176 | 3 | False | Sage, Mr. Douglas Bullen | male | NaN | 8 | 2 | 69.55 | S |
| 581 | 2 | False | Watson, Mr. Ennis Hastings | male | NaN | 0 | 0 | 0.00 | S |
| 18 | 1 | True | Bazzani, Miss. Albina | female | 32.00 | 0 | 0 | 76.29 | C |
| 921 | 3 | False | Keefe, Mr. Arthur | male | NaN | 0 | 0 | 7.25 | S |
| 494 | 2 | True | Mallet, Mrs. Albert (Antoinette Magnin) | female | 24.00 | 1 | 1 | 37.00 | C |
Number of missing values
titanic_df.isnull().sum()
pclass 0
survived 0
name 0
sex 0
age 263
sibsp 0
parch 0
fare 1
embarked 2
dtype: int64
Target Variable = Survived
General statistics of the data set
Numerical variables
titanic_df.describe()
| age | sibsp | parch | fare | |
|---|---|---|---|---|
| count | 1046.00 | 1309.00 | 1309.00 | 1308.00 |
| mean | 29.88 | 0.50 | 0.39 | 33.30 |
| std | 14.41 | 1.04 | 0.87 | 51.76 |
| min | 0.17 | 0.00 | 0.00 | 0.00 |
| 25% | 21.00 | 0.00 | 0.00 | 7.90 |
| 50% | 28.00 | 0.00 | 0.00 | 14.45 |
| 75% | 39.00 | 1.00 | 0.00 | 31.27 |
| max | 80.00 | 8.00 | 9.00 | 512.33 |
Categorical variables
# categorical columns description
titanic_df.describe(include="category")
| pclass | sex | embarked | |
|---|---|---|---|
| count | 1309 | 1309 | 1307 |
| unique | 3 | 2 | 3 |
| top | 3 | male | S |
| freq | 709 | 843 | 914 |
📈 Multivariate Analysis
Is important to check the relationship between the target variable and multiple variables.
The target variable is Survived
Target vs age vs Sex
sns.boxplot(data=titanic_df, x="sex", y="age", hue="survived");

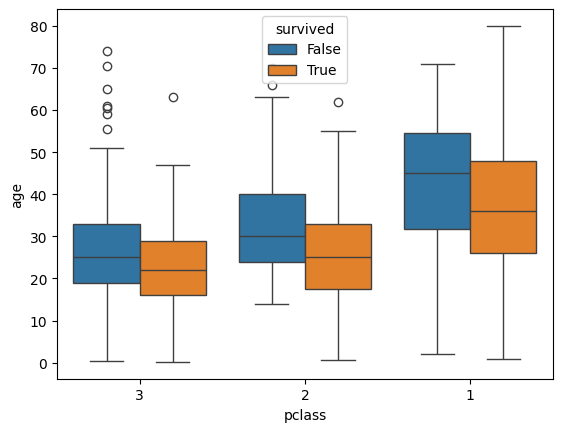
Target vs age vs pclass
sns.boxplot(data=titanic_df, x="pclass", y="age", hue="survived");

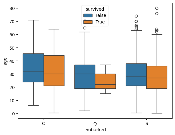
Target vs age vs embarked
sns.boxplot(data=titanic_df, x="embarked", y="age", hue="survived");

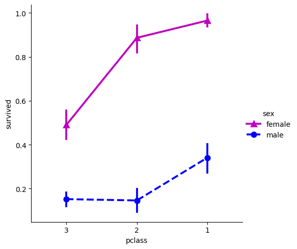
Target vs sex vs pclass
(
titanic_df[["sex", "pclass", "survived"]]
.groupby(["pclass", "sex"], observed=True)
.mean()
* 100,
1,
)
( survived
pclass sex
3 female 49.07
male 15.21
2 female 88.68
male 14.62
1 female 96.53
male 34.08,
1)
almost all Pclass 1 females survive and so do most of Pclass 2. Pclass 3 female survival is 50% and almost all (86%) Pclass 3 males unfortunately do not survive.
sns.catplot(
data=titanic_df,
x="sex",
hue="survived",
col="pclass",
kind="count",
height=4,
aspect=0.7,
);

sns.catplot(data=titanic_df, x="sex", y="survived", hue="pclass", kind="point");

sns.catplot(
data=titanic_df,
x="pclass",
y="survived",
hue="sex",
palette={"male": "b", "female": "m"},
markers=["^", "o"],
linestyles=["-", "--"],
kind="point",
);

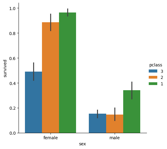
sns.catplot(data=titanic_df, x="sex", y="survived", hue="pclass", kind="bar");

Target vs pclass vs fare
sns.catplot(
x="fare",
y="survived",
row="pclass",
kind="box",
hue="survived",
orient="h",
height=1.5,
aspect=4,
data=titanic_df.query("fare > 0"),
).set(xscale="log");

Target vs sex vs pclass vs embarked
(
titanic_df[["embarked", "sex", "pclass", "survived"]]
.groupby(["embarked", "pclass", "sex"], observed=True)
.agg(["count", "mean"])
)
| survived | ||||
|---|---|---|---|---|
| count | mean | |||
| embarked | pclass | sex | ||
| C | 3 | female | 31 | 0.71 |
| male | 70 | 0.21 | ||
| 2 | female | 11 | 1.00 | |
| male | 17 | 0.29 | ||
| 1 | female | 71 | 0.97 | |
| male | 70 | 0.40 | ||
| Q | 3 | female | 56 | 0.59 |
| male | 57 | 0.12 | ||
| 2 | female | 2 | 1.00 | |
| male | 5 | 0.00 | ||
| 1 | female | 2 | 1.00 | |
| male | 1 | 0.00 | ||
| S | 3 | female | 129 | 0.40 |
| male | 366 | 0.14 | ||
| 2 | female | 93 | 0.87 | |
| male | 149 | 0.13 | ||
| 1 | female | 69 | 0.96 | |
| male | 108 | 0.31 | ||
Numerical vs All Numerical Variables
# list of the numerical columns
numerical_columns = list(titanic_df.select_dtypes(include=["number"]).columns)
numerical_columns
['age', 'sibsp', 'parch', 'fare']
sns.pairplot(titanic_df[numerical_columns], diag_kind="kde");

df = titanic_df[[*numerical_columns, "survived"]]
sns.pairplot(df, hue="survived", diag_kind="kde");

📏 Heuristics baseline model
This is a simple baseline model that will be used to compare the performance of the machine learning models.
The model will be a simple decision tree with the following features:
sexpclassage
def calculate_survival_percentage(df, pclass, age_min, age_max=None) -> float:
"""Calculate the percentage of survivors based on the class and age range.
Args:
df: DataFrame with the Titanic dataset
pclass: int with the class of the passenger
age_min: int with the minimum age of the passenger
age_max: int with the maximum age of the passenger
Returns:
float with the percentage of survivors
"""
if age_max:
survivors = len(
df[
(df["pclass"] == pclass)
& (df["age"] > age_min)
& (df["age"] < age_max)
& (df["survived"])
]
)
total = len(
df[(df["pclass"] == pclass) & (df["age"] > age_min) & (df["age"] < age_max)]
)
else:
survivors = len(
df[(df["pclass"] == pclass) & (df["age"] > age_min) & (df["survived"])]
)
total = len(df[(df["pclass"] == pclass) & (df["age"] > age_min)])
return round((survivors / total) * 100, 1)
# Calcular y mostrar los porcentajes de supervivencia
print(
"Pclass 1 survivors above age 60:",
calculate_survival_percentage(titanic_df, 1, 59),
"%",
)
print(
"Pclass 2 survivors above age 60:",
calculate_survival_percentage(titanic_df, 2, 59),
"%",
)
print(
"Pclass 3 survivors above age 60:",
calculate_survival_percentage(titanic_df, 3, 59),
"%",
)
print(
"Pclass 1 survivors between 20-30 age:",
calculate_survival_percentage(titanic_df, 1, 19, 31),
"%",
)
print(
"Pclass 2 survivors between 20-30 age:",
calculate_survival_percentage(titanic_df, 2, 19, 31),
"%",
)
print(
"Pclass 3 survivors between 20-30 age:",
calculate_survival_percentage(titanic_df, 3, 19, 31),
"%",
)
Pclass 1 survivors above age 60: 38.5 %
Pclass 2 survivors above age 60: 12.5 %
Pclass 3 survivors above age 60: 16.7 %
Pclass 1 survivors between 20-30 age: 69.8 %
Pclass 2 survivors between 20-30 age: 41.0 %
Pclass 3 survivors between 20-30 age: 25.2 %
📊 Analysis of Results
Sex and Passenger Class (Key Predictors)
sexandpclassare the two variables with the highest correlation to the target variablesurvived, making them the most important features for predicting survival.- Almost all Pclass 1 females survived (~97% from Cherbourg, ~96% from Southampton) and so did most Pclass 2 females (100% from Cherbourg and Queenstown, ~87% from Southampton).
- Pclass 3 female survival drops significantly (~59% from Queenstown, ~71% from Cherbourg, ~40% from Southampton), showing that class is a strong differentiator even among women.
- Almost all Pclass 3 males did not survive (~86% mortality), regardless of port of embarkation.
- Male survival rates were consistently low across all classes, but Pclass 1 males had the best chance (~40% from Cherbourg, ~31% from Southampton).
Age Interactions
- Age is not correlated with
pclass: the age distributions across the three classes are similar, with overlapping median values and interquartile ranges. - Age is not correlated with
fare: knowing a passenger’s age does not help predict the fare they paid. - The survival rate among children (age 0–10) is notably higher than other age groups, suggesting a “women and children first” policy.
- Among passengers above age 60, Pclass 1 had a 38.5% survival rate, while Pclass 2 and Pclass 3 had only 12.5% and 16.7% respectively.
- Among passengers aged 20–30, Pclass 1 had a 69.8% survival rate, Pclass 2 had 41.0%, and Pclass 3 had only 25.2%.
Fare and Class
- The fare is highly correlated with
pclass: higher-class passengers paid substantially more. Within each class, survivors tended to have paid higher fares than non-survivors, especially in Pclass 1.
Port of Embarkation
- The survival rate among passengers who embarked in Cherbourg (C) is higher than those from Southampton (S) or Queenstown (Q). This is likely because Cherbourg had a higher proportion of Pclass 1 passengers.
- Queenstown (Q) passengers had the lowest overall survival rate, which aligns with the fact that most of them were Pclass 3.
Summary
The multivariate analysis confirms that survival on the Titanic was primarily determined by sex (females had much higher survival rates) and passenger class (higher class meant better survival odds). Age played a secondary role, with children having an advantage. The port of embarkation is a proxy for class composition rather than an independent predictor. These findings suggest that a baseline model using sex, pclass, and age should capture the main patterns in the data.
💡 Proposals and Ideas
For first baseline model, we will use the following features:
sexpclassage
and can be done with heuristics or with a simple model like a decision tree.
📖 References
Visualization
- https://joserzapata.github.io/courses/python-ciencia-datos/visualizacion/#visualizacion-con-pandas
- https://joserzapata.github.io/courses/python-ciencia-datos/visualizacion/plotly/
- https://joserzapata.github.io/courses/python-ciencia-datos/visualizacion/seaborn/
EDA
- https://www.analyticsvidhya.com/blog/2022/02/a-quick-guide-to-bivariate-analysis-in-python/
- https://www.kaggle.com/code/allohvk/titanic-advanced-eda
- https://www.kaggle.com/code/imkushwaha/bivariate-multivariate-analysis
Statistical tests